职业技能等级评价成绩公示
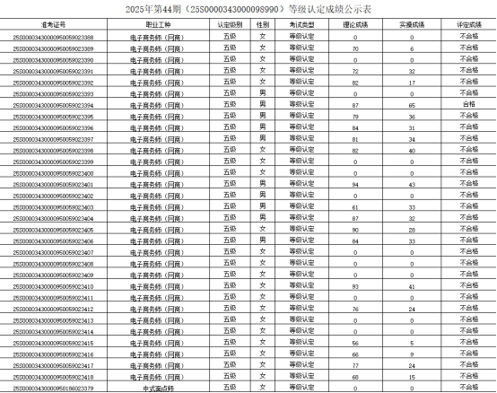
按照有关规定,我校于2025年12月26日至2025年12月27日组织互联网营销师(直播销售员)五级、电子商务师(网商)五级、中式面点师五级、育婴员五级技能评价批号:(25S0000343000098990)。通过本次评价,共有71人参加此次考试, 27人考核成绩合格(理论知识考试及技能操作均及格),现将评价结果予以公示如下,公示期限3个工作日。



如有疑议,请与我校职业技能评价中心联系。
公示电话 :15855889156(学校职业技能评价中心)
0558-2988788(学校办公室)
安徽卓创技工学校
2026年01月03日